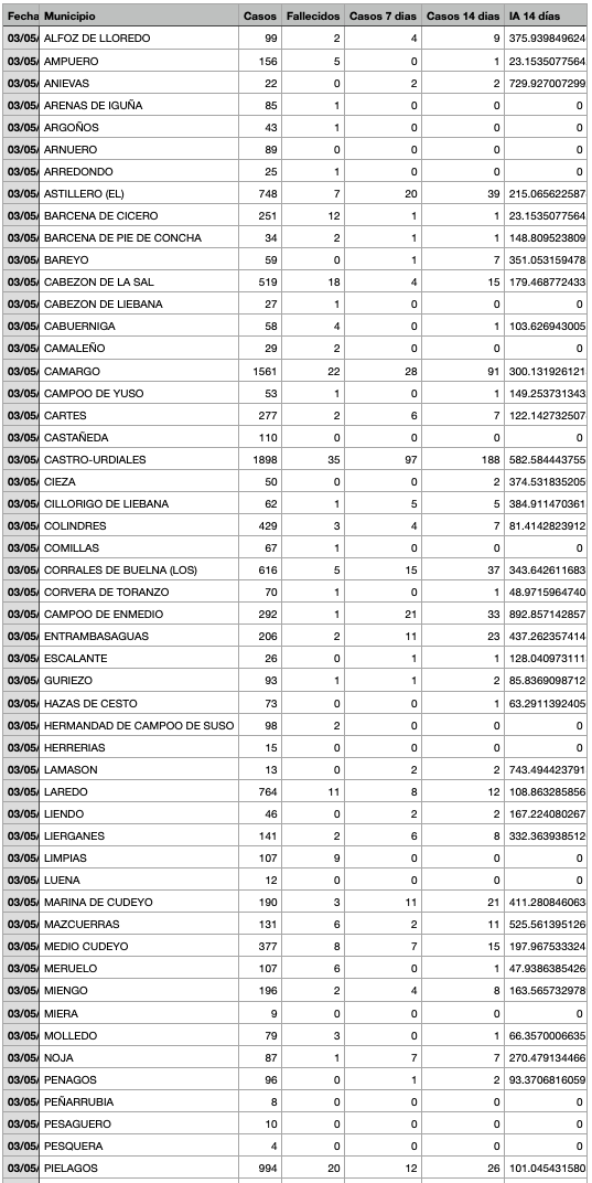
A continuación os dejamos las tablas de casos nuevos a 7 y 14 días por municipios, y de INCIDENCIA ACUMULADA A 14 DÍAS, con todos los datos sumados hasta este lunes 3 de mayo a las 23:59 horas.
Para entender la tabla, Casos: Total desde el inicio de la pandemia. Fallecidos: Total desde el inicio de la pandemia. Casos 7: son casos nuevos en los últimos 7 días. Casos 14: Casos nuevos en los últimos 14 días. IA 14 días: Incidencia acumulada a 14 días sobre 100.000 habitantes.
Te invitamos a que te descargues nuestra APP, 100% gratuita: para iPhone: https://apps.apple.com/us/app/ifomo-noticias/id1559815168 para Android: https://play.google.com/store/apps/details?id=com.opennemas.ifomo


